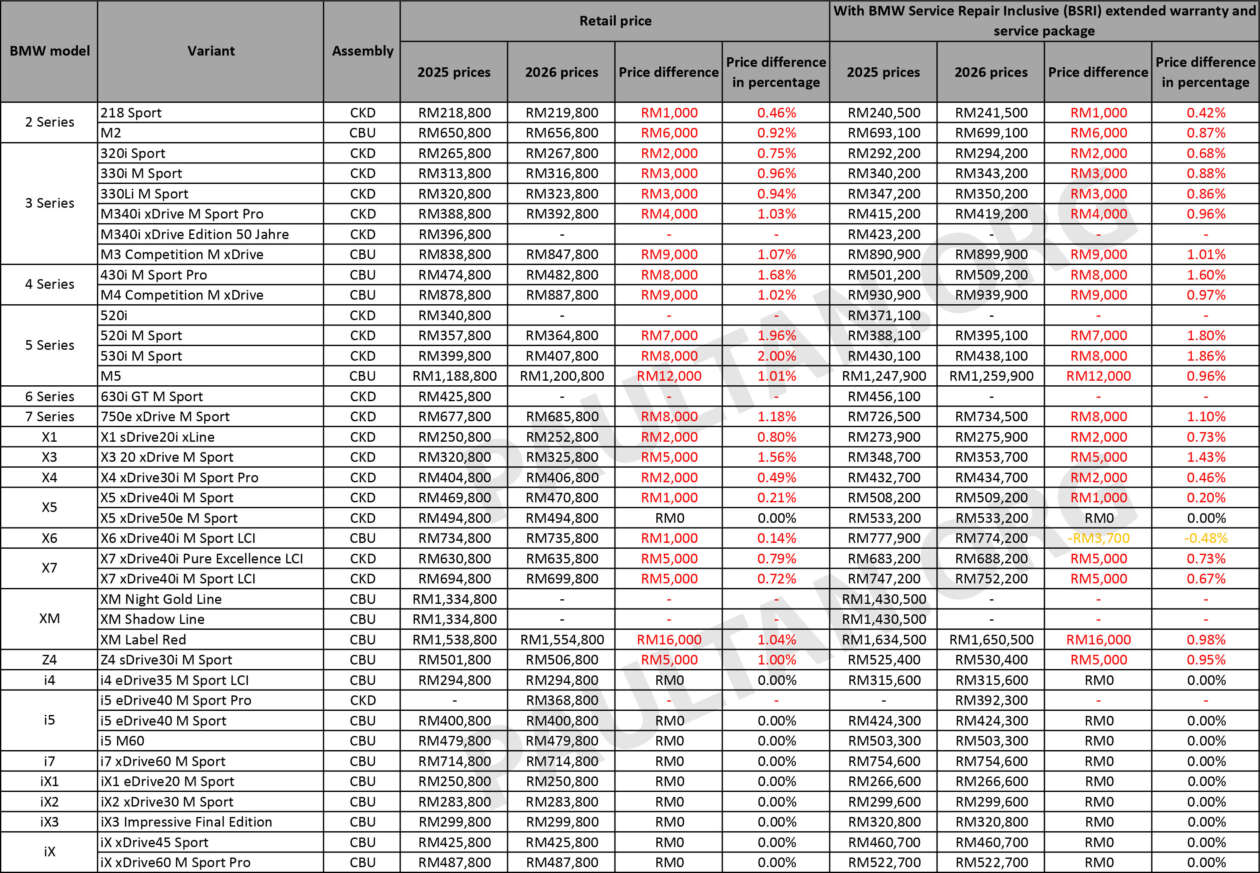
BMW Malaysia has revised its price list for 2026, with several models costing more than before. The increases are as much as RM16,000 or 2% at the models’ on-the-road pricing inclusive of a standard two-year warranty but without insurance. With the BMW Service Repair Inclusive (BSRI) extended warranty and service package, the price hike is up to RM16,000 or 1.86%. Starting with the 2 Series, the 218 Sport costs RM219,800 (RM241,500 with BSRI), which is RM1,000 (0.46%) more than the official price revealed for the entry-level model back in July 2025. The much sportier M2 sees a bigger jump of RM6,000 (0.92%) to now retail for RM656,800. Another popular product range that sees a price increase is the 3 Series, with the base 320i Sport getting a RM2,000 (0.75%) price hike. The amount increase is larger at RM3,000 for the 330i M Sport (up 0.96%) and 330Li M Sport (up 0.94%), while it is RM4,000 (1.03%) for the M340i xDrive M Sport Pro – the Edition 50 Jahre has been dropped. Like its smaller sibling, the M3 Competition M xDrive gets the largest price increase in the product range at RM9,000 (1.07%). Equally a bread-and-butter model is the 5 Series, which loses the 520i that is effectively replaced with the 520i M Sport. The latter is up by RM7,000 (1.96%), while the higher-spec 530i M Sport’s price is increased by RM8,000 (2%). The full-fat M5 is RM12,000 (1.01%) up. The 630i GT M Sport previously filled the gap between 5 Series and 7 Series, but that model has been dropped in 2026. Speaking of the 7 Series, the plug-in hybrid (PHEV) 750e xDrive M Sport sees a price increase of RM8,000 (1.18%) to now go for RM685,800 (RM734,500 with BSRI). Moving on to BMW’s Sports Activity Vehicles (SAVs), the X1 sDrive20i xLine is up by RM2,000 (0.8%), while it is RM5,000 (1.56%) for the larger X3 20 xDrive M Sport – this was formally launched in June 2025. The stylish X4 and the non-PHEV version of the X5, the X5 xDrive40i M Sport (launched in July 2025), are up by RM2,000 (0.49%) and RM1,000 (0.21%) respectively. As for the X6, its standard OTR pricing has gone up by RM1,000 (0.14%), but with BSRI factored in, the asking price is actually down by RM3,700 (0.48%). We’ve checked with BMW Malaysia on this and were told the cost of BSRI for the X6 has been reduced for the 2026 model year. The larger X7 gets a RM5,000 increase for both its xDrive40i variants, namely the Pure Excellence (up 0.79%) and M Sport (up 0.72%). Meanwhile, the XM, an M-branded PHEV, is reduced to a sole Label Red variant that now costs RM16,000 (1.04%) more at RM1,554,800 (RM1,650,500 with BSRI). Another niche offering that gets a price hike is the Z4, which is likely to be on its way out but now costs RM5,000 (1%) more than before. Based on our checks, every BMW electric vehicle (EV) sees no change to their price. A new addition in 2026 is the locally-assembled (CKD) i5 eDrive40 M Sport Pro, which is joined by the long-wheelbase iX1 that is currently estimated (read: not final) to go for RM255,000 without BSRI. Another model that retains its pricing is the plug-in hybrid version of the X5, the X5 xDrive50e M Sport that was launched in January 2024. The SUV’s price did get bumped up midway through 2025 to RM494,800 (RM533,200 with BSRI), and these figures have stayed unchanged entering 2026. Compare prices between different insurer providers to save the most on your car insurance renewal compared to other competing services. Many payment method supported and you can pay with instalment using Atome, Grab PayLater or Shopee SPayLater.